近年来,在大型强子对撞机LHC上对于瞬时衰变大质量新粒子的搜寻长期未获突破,促使长寿命粒子成为超越标准模型物理研究的新焦点。许多新物理模型预言了长寿命粒子,包括重中性轻子(heavy neutral lepton, HNL,亦称惰性中微子 sterile neutrino)和中性微子(neutralino)。相关模型往往有较好的物理动机,包括解释非零中微子质量、正反物质不对称和等级差问题以及提供暗物质候选粒子。这样的粒子可以在多种陆基实验中寻找,包括质子-质子对撞机,正负电子对撞机,束流收集实验,中微子实验等。
近日,公司王泽人副研究员与多国专家学者同行合作,在粒子物理自然指数期刊Journal of High Energy Physics(JHEP)上发表了4篇期刊论文,探索高亮度LHC和Belle II实验以及质子打靶实验SHiP和中微子实验DUNE对几种长寿命粒子的探测潜力。
论文[1]利用重中性轻子拓展的标准模型有效场论框架,研究了最小左右对称模型中质量GeV量级的、通过多种介子衰变产生的长寿命惰性中微子,并进行了唯象学研究,估算了高亮度LHC远端探测器ANUBIS,CODEX-b,FACET,FASER(2),MoEDAL-MAPP(2)和MATHUSLA,SHiP实验以及DUNE实验进行位移顶点搜寻的灵敏度;其中DUNE和SHiP可以探测高达25 TeV的带电右手规范粒子质量。最后作者将位移顶点搜寻与无中微子双贝塔衰变搜寻进行比较,得出了位移顶点搜寻具有极高竞争性的结论。图1展示了最小左右对称模型中,考虑I类跷跷板机制解释活性中微子质量,假设带电右手规范粒子和标准模型W玻色子混合角为0,得到的灵敏度数值结果。

图1. 最小左右对称模型中,假设I类跷跷板机制解释活性中微子质量以及假设带电右手规范例子不与标准模型W玻色子混合,所得到的灵敏度结果。横坐标与纵坐标分别为惰性中微子质量与右手规范玻色子质量。取自论文[1]。
在论文[2]中,作者利用了重中性轻子拓展的标准模型有效场论框架,研究与顶夸克耦合的长寿命重中性轻子,考虑多个不同的有效算符,评估了高亮度LHC主探测器和远端探测器的搜寻灵敏度。通过提出对位移顶点信号的相关搜寻策略,该论文的数值模拟结果表明,这些实验可以对质量在100 GeV数量级上的重中性轻子,探测低至约10-20-10-6的重中性轻子-活性中微子混合角平方或高至约2-12 TeV的新物理能标。图2展示了部分数值结果。

图2. 考虑部分有效算符,高亮度LHC主探测器和远端探测器对于有效场论框架下与顶夸克耦合的长寿命重中性轻子的灵敏度,分别展示在中微子混合角平方对重中性轻子(左)和新物理能标对重中性轻子质量(右)平面上。取自论文[2]。
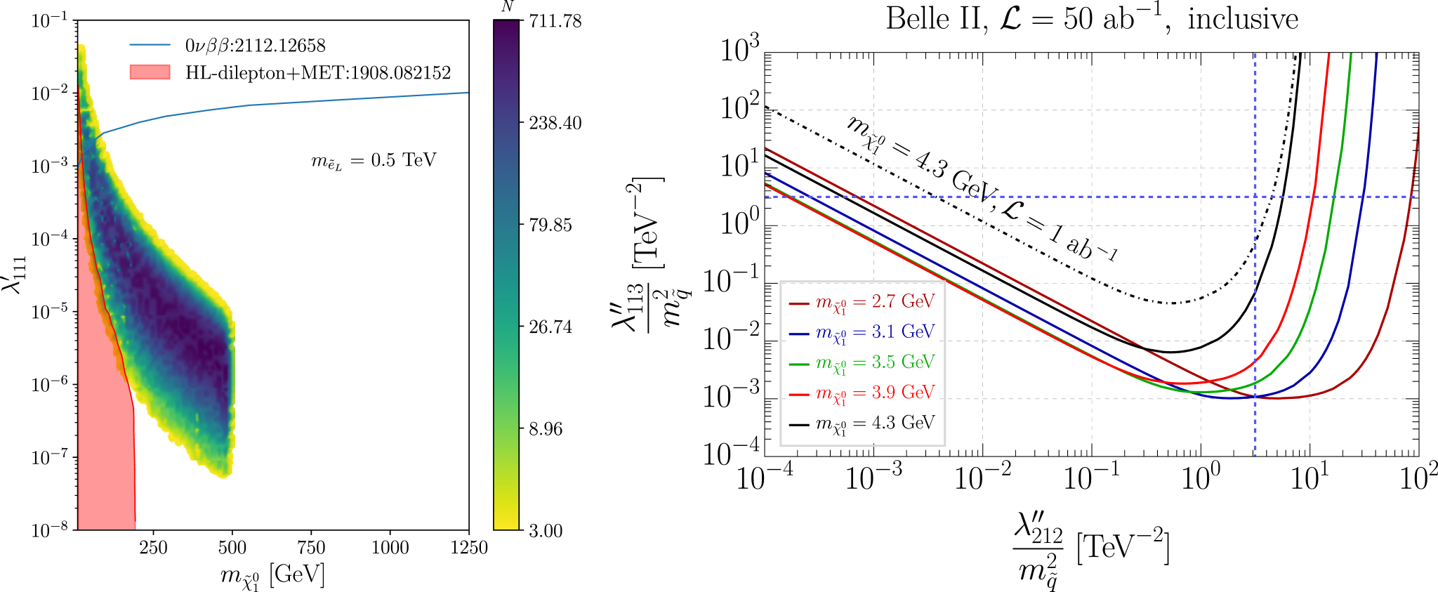
论文[3]和[4]则关注R宇称破缺超对称模型中假设为最轻超对称粒子的类bino最轻中性微子(the lightest neutralino)。论文[3]考虑在LHC上质子-质子对撞,导致成对产生标量轻子粒子(slepton),这些粒子瞬时衰变为一个电子和一个最轻中性微子。最轻中性微子通过R宇称破缺中轻子数破坏的LQD算符衰变;如果相关衰变耦合常数足够小,这样的最轻中性微子是长寿命的。专注于10 GeV至几百GeV的中性微子质量区间,作者提出了以瞬时轻子为触发(trigger)、以位移顶点为主要信号的搜寻策略。数值模拟结果表明利用该搜寻策略,考虑质量在1 TeV左右的标量轻子,高亮度LHC可以在中性微子质量约为10 GeV至1000 GeV的区间内探测低至10-7数量级的lambda’_111耦合常数。并且作者发现,该搜索可与其他探测方式形成互补关系,如LHC瞬时搜寻策略和无中微子双贝塔衰变。
论文[4]则考虑在Belle II实验上探测重子数破坏的R宇称破缺超对称模型。在Belle II实验上,预计最终可收集50 ab-1积分亮度的数据,对应产生1010数量级的B介子。作者研究B介子通过一个R宇称破缺耦合常数lambda’’_113衰变产生一个质子和一个类bino最轻中性微子。长寿命的中性微子在Belle II探测器中移动一段宏观距离后通过另一个R宇称破缺耦合常数lambda’’_212衰变成更轻的介子和重子,构成位移顶点信号。通过解析计算中性微子的产生率和衰变宽度,以及数值模拟探测器对于不同信号末态的探测效率和中性微子在探测器有效区域内衰变的概率,作者评估了Belle II实验对于该理论情景的未来灵敏度。
图3的两图展示了论文[3]和[4]的部分数值结果。

图3. 论文[3]和论文[4]中的部分数值结果。左图取自论文[3],考虑质量为500 GeV的标量轻子,在lambda’_111 vs.中性微子质量的平面内展示了灵敏度。右图取自论文[4],展示了Belle II上利用遍举末态,以位移顶点为信号的搜寻策略可探测的参数空间。
这些研究工作中提出的新型信号过程和信号末态类型,具有良好的物理动机,也有助于超越标准模型新物理的寻找,大力支持相关实验和搜索的实际开展与进行。
四篇JHEP论文,均按照高能物理国际惯例,作者按姓氏首字母排序;其中论文[4]中必威西汉姆联为论文第一单位,公司王泽人副研究员为论文通讯作者。国际合作单位包括荷兰阿姆斯特丹大学、国家亚原子物理研究所(Nikhef),西班牙瓦伦西亚粒子物理研究所,智利天主教大学、高能前沿亚原子物理千禧研究所(SAPHIR)、拉塞雷纳大学、费德里科·圣玛丽亚技术大学、马约尔大学,德国波恩大学、图宾根大学,意大利比萨大学、国家核物理研究所比萨分部,以色列特拉维夫大学,以及印度科学研究院班加罗尔高能物理中心。该研究工作得到了国家自然科学基金、必威西汉姆联中央高校基本科研业务费、必威西汉姆联人才引进条件建设经费等资助。
图、文/王泽人 审核/高伟清
文章链接:
[1] https://doi.org/10.1007/JHEP04(2025)007
[2] https://doi.org/10.1007/JHEP05(2025)238
[3] https://doi.org/10.1007/JHEP09(2025)102
[4] https://doi.org/10.1007/JHEP10(2025)076