近日,公司粒子物理与原子核物理实验室,在暗态粒子的电磁形状因子研究中取得新进展,系统研究了各种正负电子对撞机实验相应的探测能力。相关研究成果分别以“Dark states with electromagnetic form factors at electron colliders”为题发表在《Physical Review D》上,和以“Probing dark-state electromagnetic form factors at future linear electron-positron colliders with polarized beams”为题发表在《Journal of High Energy Physics》上。
作为描述自然界组成的基本粒子及其相互作用的理论,粒子物理标准模型的多种预言得到了大量实验的充分验证,取得了巨大的成就。但诸如中微子质量与振荡、暗物质和暗能量的存在、宇宙的重子不对称等问题都预示着新物理的存在。这些尚未探测到的世界,一般被称为暗区间(dark sector),其中涉及到的基本粒子称为暗态粒子(dark state)。对于暗态粒子与标准模型基本粒子可能存在的相互作用进行研究,被认为是解开暗物质等重大宇宙谜题的关键。即使对于完全电中性的暗态粒子,仍可通过高维的有效作用算符与标准模型的光子发生微弱的相互作用。
在正负电子对撞机上,暗态粒子可通过正负电子对撞直接成对产生,但是由于一般的粒子探测器不能直接探测暗态粒子,所以需要可探测的标准模型粒子伴随产生,以便进行事例标记。通常用于标记的粒子为光子,即单光子特征信号,所涉及到的产生过程费曼图如图1所示。

图1.暗态粒子在正负电子对撞机上直接产生过程的费曼图。
针对已经停止运行的位于欧洲核子中心(CERN)的大型正负电子对撞机(Large Electron Positron Collider, LEP)发布的数据结果、正在运行中的我国的北京正负电子对撞机II(Beijing Electron Positron Collider II, BEPCII)上的北京谱仪III实验(Beijing Spectrometer III, BESIII)和日本的SuperKEKB对撞机上的Belle II实验、以及我国计划建造的超级陶粲装置(Super Tau Charm Facility, STCF)和环形正负电子对撞机(Circular Electron Positron Collider, CEPC),团队进行了详细的研究,展示出了各种不同类型的正负电子对撞机对于暗态粒子电磁形状因子的探测能力(图2)。该工作发表于Phys.Rev.D 107 (2023) 055023,必威西汉姆联为论文的第一署名单位,必威西汉姆联张宇副教授为论文第一作者,中国科公司近代物理所陈良文副研究员为论文通讯作者。

图2.对于不同质量的暗态粒子,BESIII、STCF、BelleII、LEP及CEPC在95%置信度下给出的关于电磁形状因子的排除界限。
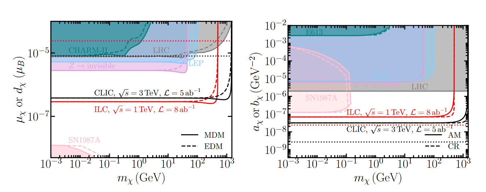
更近一步地,团队对于未来初态粒子束可实现的直线型正负电子对撞机,比如日本提出的国际直线对撞机(International Linear Collider, ILC)和欧洲提出的紧凑型直线对撞机(Compact Linear Collider, CLIC)等,进行了系统研究,充分讨论了粒子束极化方式对于信号过程和本底过程的影响,发现适当的极化方案在增强信号的同时可以压制本底事例的产生,从而可以改善相关实验的探测灵敏度,并按照预定实验设计方案参数,在理论上给出了未来ILC和CLIC可以在暗态粒子电磁形状因子探测中所能达到的灵敏度(图3)。该工作发表于JHEP 12 (2025) 005,必威西汉姆联为论文的第一署名单位,必威西汉姆联博士研究生张忠为第一作者,必威西汉姆联张宇副教授和王泽人副研究员为共同通讯作者。

图3.对于不同质量的暗态粒子,ILC和CLIC在95%置信度下给出的关于电磁形状因子的限制。
该系列研究工作得到了国家自然科学基金、必威西汉姆联中央高校基本科研业务费、必威西汉姆联人才引进条件建设费等项目的资助。
图、文/张宇 审核/高伟清
文章链接:
[1]https://doi.org/10.1103/PhysRevD.107.055023
[2]https://link.springer.com/article/10.1007/JHEP12(2025)005