The research team led by Prof. Ming Li from the Department of Physics of Hefei University of Technology (HFUT) has made progress in the explosive percolation. The result was published in Physical Review Letters under the title of "Explosive Percolation Obeys Standard Finite-Size Scaling in an Event-Based Ensemble" (Phys. Rev. Lett., 130, 2023, 147101).

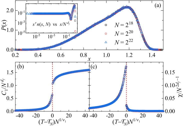
Figure 1 In the event-based ensemble explosive percolation obeys the standard finite-size scaling.
Phase transition refers to the physical process of transition between one state of a medium and another, such as melting, and superconductivity. One of the most amazing things about phase transition is the existence of universality -- a collection of systems that may appear dramatically different can share a single scale invariant limit. It is believed that the universality does not depend on the details of the physical system, but only on some of its general features, such as the system dimension, the symmetry of the order parameter, and the range of interaction, which have already been reinforced by lots of experiments, and can also be well demonstrated by various models.
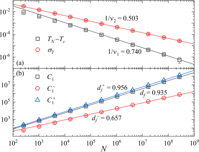
Recently, by introducing only a minor change on the standard percolation model, rich anomalous behaviors have been observed in the so-called explosive percolation. Due to these anomalous behaviors, the explosive percolation was perceived as a discontinuous transition when it was introduced, but later studies suggested that the sharp transition is continuous, but with anomalous finite-size scaling. These findings present a formidable challenge to the theory of phase transition, especially the finite-size scaling theory. In this work, the authors proposed a new ensemble, called event-based ensemble, to extract the critical behaviors of the explosive percolation. The simulation results show that, in the event-based ensemble, the critical behaviors of explosive percolation are rather clean and obey the standard finite-size scaling theory, except for the large fluctuation of pseudo-critical points. In the fluctuation window, multiple fractal structures emerge and the values can be derived from a crossover scaling theory. From this, the anomalous phenomena in the conventional ensemble are revealed to be a mixture of critical behaviors over the fluctuation window. The effective event-based method can find broad applications, since large sample-to-sample fluctuations can widely exist in systems like disordered ones. Moreover, the proposed crossover scaling theory may provide important insights for connecting critical behaviors in different ensembles.

Figure 2 Multiple scalings in explosive percolation, and the predictions from the crossover finite-size scaling.
Authors of the paper include Prof. Ming Li (HFUT), Dr. Junfeng Wang (HFUT), and Prof. Youjin Deng from University of Science and Technology of China. The research was supported by the National Natural Science Foundation of China, and the National Key R&D Program of China.
Paper link: https://link.aps.org/doi/10.1103/PhysRevLett.130.147101