In recent years, searches at the Large Hadron Collider (LHC) for promptly decaying heavy new particles have not achieved discoveries, which has led long-lived particles (LLPs) to become a new search frontier in the study of physics beyond the Standard Model (SM). Many new-physics models predict LLPs, including heavy neutral leptons (HNLs) and neutralinos. These models are often well motivated, for example by explaining non-zero neutrino masses, the matter–antimatter asymmetry, the hierarchy problem, and by providing dark-matter candidates. Such particles can be searched for at various terrestrial experiments, including proton–proton colliders, electron–positron colliders, beam-dump experiments, and neutrino experiments.
Recently, Zeren Simon Wang, an Associate Researcher at our school, together with international collaborators, published four research papers in the Journal of High Energy Physics (JHEP), exploring the sensitivity of the High-Luminosity LHC (HL-LHC), the Belle II experiment, the proton beam-dump experiment SHiP, as well as the neutrino experiment DUNE, to several types of long-lived particles.
Ref. [1] studied light GeV-scale long-lived sterile neutrinos produced in decays of various types of mesons, in the model of the minimal left-right symmetric model, within the framework of the Standard Model Effective Field Theory (SMEFT) extended by HNLs. The authors have performed a phenomenological investigation, estimating the displaced-vertex-search sensitivities of far detectors at the HL-LHC including ANUBIS, CODEX-b, FACET, FASER(2), MoEDAL-MAPP(2) and MATHUSLA, the SHiP experiment and the DUNE experiment. In particular, DUNE and SHiP are found to be able to probe the mass of a charged right-handed gauge boson, up to 25 TeV. Finally, the authors compared the sensitivities of displaced-vertex searches and searches for neutrinoless double-beta decays, reaching the conclusion that the displaced-vertex searches are highly competitive. Figure 1 displays the sensitivities results in the minimal left-right symmetric model, assuming type-I seesaw mechanism for explaining the active-neutrino masses and assuming vanishing mixing between the charged right-handed gauge boson and the SM W-boson.
Figure 1. Sensitivities in the minimal left-right symmetric model, where we assume type-I seesaw mechanism for explaining active-neutrino masses and assume zero mixing between the charged right-handed gauge boson and the SM W-boson. The two axes represent the sterile-neutrino mass and the right-handed gauge-boson mass, respectively. Reproduced from Ref. [1].
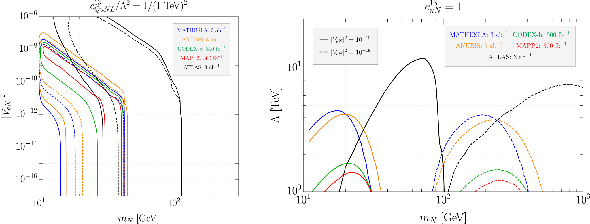
In Ref. [2], the authors studied long-lived HNLs coupled to the top quark within the framework of the SMEFT extended by HNLs. Considering several effective operators, they evaluated the sensitivity of both the main detectors and far detectors at the HL-LHC. By proposing search strategies targeting displaced-vertex signatures, numerical results show that these experiments can probe HNLs with masses in the order of 100 GeV, reaching squared mixing angles between HNLs and active neutrinos as low as about 10-20-10-6, or probing new-physics scales up to about 2–12 TeV. Figure 2 shows part of these numerical results.
Figure 2. Sensitivity of the HL-LHC main detectors and far detectors to long-lived HNLs coupled to the top quark in the SMEFT framework, shown in the planes of neutrino mixing angle squared vs. HNL mass (left) and new-physics scale vs. HNL mass (right). Reproduced from Ref. [2].
Refs. [3] and [4] focused on bino-like lightest neutralinos in R-parity violating (RPV) supersymmetric models, where the neutralino is assumed to be the lightest supersymmetric particle (LSP). Ref. [3] considered proton–proton collisions at the LHC that produce pairs of sleptons, which promptly decay into an electron and the lightest neutralino. The neutralino subsequently decays via an RPV LQD operator that violates lepton number. If the relevant coupling constant is sufficiently small, the neutralino becomes long-lived. Focusing on neutralino masses between about 10 GeV and a few hundred GeV, the authors proposed a search strategy triggered by prompt leptons and using displaced vertices as the main signal. Numerical results show that with slepton masses around 1 TeV, the HL-LHC can probe the coupling lambda’_111 as small as 10-7 for neutralino masses in the 10 - 1000 GeV range. Moreover, this search strategy is found to complement other probes, such as prompt searches at the LHC and neutrinoless double-beta decay.
Ref. [4] studied the detection prospects at the Belle II experiment for baryon-number-violating RPV supersymmetry. At Belle II, an integrated luminosity of 50 ab-1 is expected, corresponding to about 1010 B mesons. The authors studied the scenario where a B-meson decays, via an RPV coupling lambda’’_113, into a proton and a bino-like neutralino. The long-lived neutralino travels a macroscopic distance in the Belle II detector and then decays, via another RPV coupling lambda’’_212, into a lighter meson and a lighter baryon, giving rise to displaced-vertex signatures. By analytically calculating the neutralino production rates and decay widths, and numerically simulating the detection efficiencies for different final states as well as the decay probabilities within the effective detector volume, the authors assessed the future sensitivity of Belle II to this scenario.

Figure 3 presents selected numerical results from Refs. [3] and [4].
Figure 3. Selected numerical results from Refs. [3] and [4]. The left panel, from Ref. [3], considers a slepton mass of 500 GeV and shows the HL-LHC sensitivity in the lambda’_111 vs. neutralino-mass plane. The right panel, from Ref. [4], shows the Belle II sensitivity for different representative neutralino masses using displaced-vertex search strategies and considering inclusive final states.
These works propose novel signal processes and final states, with strong theoretical motivation, which will aid in the search for new physics beyond the Standard Model and strongly support the implementation of corresponding experimental searches.
All four JHEP papers follow the international convention in high-energy physics of ordering authors alphabetically by surname. In particular, in Ref. [4], the School of Physics at Hefei University of Technology is listed as the first affiliation, with Zeren Simon Wang as the corresponding author. The international collaborators are from institutions including University of Amsterdam and Nikhef (the Netherlands,), Instituto de Física Corpuscular in Valencia (Spain), Pontificia Universidad Católica de Chile, Millennium Institute for Subatomic Physics at the High Energy Frontier (SAPHIR), Universidad de La Serena, Universidad Técnica Federico Santa María, and Universidad Mayor (Chile), Universität Bonn and Universität Tübingen (Germany), Università di Pisa and INFN Sezione di Pisa (Italy), Tel Aviv University (Israel), and Centre for High Energy Physics at the Indian Institute of Science in Bangalore (India).
This research was supported by the National Natural Science Foundation of China, the Fundamental Research Funds for the Central Universities of Hefei University of Technology, and the Talent Recruitment Fund of HFUT
Zeren Simon Wang (Figures and text), Weiqing Gao (Reviewed)
Paper Links:
[1] https://doi.org/10.1007/JHEP04(2025)007
[2] https://doi.org/10.1007/JHEP05(2025)238
[3] https://doi.org/10.1007/JHEP09(2025)102
[4] https://doi.org/10.1007/JHEP10(2025)076